Artigo TCC do curso de Bacharel em Ciências da Computação

Este, tem o objetivo de estudar e simular, uma possivel melhora na eficiência do setor de expedição de uma empresa que atua no ramo de locação de equipamentos para construção civil, melhorando o fluxo de caminhões no pátio e ainda proporcionar um remanejamento de funcionários (conferentes e ajudantes) envolvidos no processo de carga e descarga.

APLICAÇÃO DAS TÉCNICAS DE MODELAGEM E SIMULAÇÃO PARA A OTIMIZAÇÃO DO SETOR DE EXPEDIÇÃO.

Leandro Pimenta Parente Marcus Vinicius Pereira Cavalli

Universidade Nove de Julho Diretoria dos Cursos de Informática São Paulo, Brasil / 2011

Resumo: Este artigo aborda a utilização das técnicas de modelagem e simulação como ferramenta de auxílio na análise e tomada de decisões estratégicas para melhorar a eficiência do setor de expedição de uma empresa que atua no ramo de locação de equipamentos para construção civil, melhorando o fluxo de caminhões no pátio e ainda proporcionar um remanejamento de funcionários (conferentes e ajudantes) envolvidos no processo de carga e descarga que prestam serviço na mesma área. Palavras Chaves: Teoria de Filas; Simulação Computacional; Poisson; Distribuição de Frequências; Distribuição Exponencial Negativa.

I. Introdução

No mundo atual, é importante questionar o quanto o desafiador cenário globalizado causa impacto direto e indireto na reavaliação das diretrizes de desenvolvimento para o futuro. Não obstante do ambiente corporativo acarreta um processo de reformulação e modernização de todos os recursos funcionais. Sendo assim, as empresas modernas precisam estar em constante evolução para manterem-se competitivas. Para isso são necessárias frequentes atualizações e inovações nos processos de negócio e, consequentemente, nos sistemas de informação que lhes dão suporte. A necessidade de integração entre os objetivos do negócio, os processos de

negócio e sistemas de informação tornaram-se um fator determinante da dinâmica necessária à organização e também um desafio aos gerentes [1].Hoje a necessidade de conquistar seus objetivos faz com que a competitividade não seja um item irrelevante para as empresas, de qualquer ramo de negócio, e o uso da tecnologia adequada, faz-se necessário para conquistar seus objetivos. A globalização traz necessidades de transformações, exigindo das organizações tomadas de decisões mais rápidas, o que nos leva a necessidade de uma maior organização em aquisição e distribuição de informações, para que as informações sejam adquiridas e distribuídas de forma mais rápida e eficiente[2]. Sabemos que em uma empresa existem vários tipos de processos. No entanto podemos destacar três processos empresariais devido a sua influencia sobre todos os demais, são eles, os processos de negócios, os processos organizacionais e os processos gerenciais, cada um tem um efeito específico fora da empresa [3]. Os processos de negócio são ligados à essência do funcionamento da organização. Por exemplo, uma seguradora com um processo de emissão de apólice, este se inicia na emissão da proposta de seguro e termina com o envio da apólice ao segurado. Para este exemplo o processo de negocio é do tipo de serviço, mas também poderia ser de produção física, depende das características da empresa. Já os processos organizacionais são do tipo burocrático, comportamental e ou de mudança [4].

Processos organizacionais geralmente produzem resultados imperceptíveis para os clientes externos, mas são essenciais para a gestão efetiva do negócio, por exemplo, o processo de contas a pagar [3]. Todos os processos são igualmente importantes para obtenção dos objetos, com o mercado se tornando cada vez mais exigente, coisas de outras de dentre, ele quer mais qualidade e rapidez de atendimento[2]. Na indústria da construção civil, o transporte é feito por veículos de carga. Em lotes maiores, a ocupação do equipamento é alta, mas a demora na conclusão da carga e a espera pela próxima carga reduz a ocupação dos veículos. Em cargas menores, a ocupação do veículo cresce, mas, devido à variabilidade, cresce o risco de faltar pessoal na hora da carga, reduzindo a ocupação do equipamento. Uma técnica que pode ser útil em casos como o descrito, em que há trade-offs entre alternativas e a variabilidade é significativa, é a simulação computacional. Esta técnica torna possível testar diversas alternativas, avaliando seus potenciais resultados. Esta técnica necessita um baixo investimento, pois ela emprega ambientes virtuais para análise, não havendo necessidade de alteração de arranjos físicos [5]. O objetivo deste artigo é apresentar uma pesquisa envolvendo simulação de alternativas para a organização da logística de expedição de uma empresa de locação de equipamentos para construção civil, entregue por caminhão. A pesquisa se delimita ao controle de carga de escoramento metálico carregado em caminhões. O objetivo da pesquisa é encontrar uma alternativa que reduza o tempo médio de espera de clientes por carga. Não é objetivo contextualizar, aprofundar ou revisar a simulação computacional como técnica de pesquisa, haja vista sua presença na literatura de engenharia de produção. A questão de pesquisa é: que alternativa de organização dos recursos de expedição reduz mais o tempo de espera de clientes e qual a repercussão da alternativa no uso dos recursos e no custo de expedição? O método de pesquisa é a simulação computacional para a análise das alternativas com o intuito de melhorar o processo logístico.

Este artigo está organizado em: referencial teórico necessário para a pesquisa, incluindo filas e simulação computacional em operações logísticas, a pesquisa e discussão sobre a alternativa apontada pela simulação.

II. Materiais e Métodos

1. Simulação

Simulação á a imitação da operação de um processo ou sistema ao longo do tempo. Seja feita manualmente ou através de um computador, a simulação envolve a geração de uma história artificial do sistema, e a observação desta história permite criar inferências a respeito das características de operação do sistema real. A observação do sistema à medida que ele evolui ao longo do tempo é estudada através do desenvolvimento de um modelo. Este modelo geralmente é obtido fazendo-se uma série de considerações a respeito do comportamento do sistema. Estas considerações são expressas através de relações matemáticas, lógicas e simbólicas entre as entidades, ou outros componentes do sistema. Uma vez desenvolvido e validado, um modelo pode ser usado para investigar uma grande variedade de perguntas tipo "e se" sobre o sistema real, ou seja, mudanças no sistema poderiam ser primeiro simuladas com o objetivo de se prever o impacto destas mudanças no sistema real. A simulação também pode ser usada para estudar sistemas durante a fase de desenvolvimento do mesmo, antes mesmo de terem sido construídos fisicamente. Portanto, a simulação pode ser usada tanto para prever o efeito de uma alteração em sistemas existentes, ou como uma ferramenta de desenvolvimento que permite prever a performance de novos sistemas sob um conjunto variado de circunstâncias. A simulação pode ser usada com os seguintes propósitos:

  1. Possibilitar o estudo e a experimentação das interações internas de um sistema complexo, ou de um subsistema dentro de um sistema maior;
  2. Alterações das informações, organização e nas condições de um sistema podem ser simuladas, e o efeito destas alterações podem ser observadas no comportamento do modelo;
  3. O conhecimento adquirido no desenvolvimento de um modelo para a simulação pode ser de grande importância para sugerir melhorias no sistema estudado;
  4. Através de mudanças nos valores de entradas da simulação e observando a resposta do sistema, podemos reconhecer as variáveis mais importantes do sistema e como elas interagem;
  5. A simulação pode ser usada como meio pedagógico para reforçar o aprendizado da metodologia para obtenção das respostas analíticas;
  6. A animação permite visualizar a operação do sistema e desta forma podemos estudar a planta;
  7. Os sistemas modernos são tão complexos que as interações entre seus subsistemas só podem ser analisadas através de simulações. O número de ocorrências em intervalos disjuntos é independente;
  8. O número de ocorrências em um intervalo de tempo dependente apenas do tamanho do intervalo;

2. Geração de números aleatórios

Em uma simulação computacional é necessário compreender as técnicas de geração de sequências aleatórias. Sua finalidade é produzir uma sequência de números que representa as observações ou amostras de um

fenômeno que, em última instância, simula a aleatoriedade existente no sistema real. Esta sequência deve ser contínua e estar uniformemente distribuída no intervalo [0,1] e, além disso, os valores devem ser independentes uns dos outros. Um gerador implementado computacionalmente é, geralmente, um algoritmo recursivo que produz uma sequência de números a partir de uma semente (como todo algoritmo recursivo). Assim sendo, esta sequência não é verdadeiramente aleatória e, então, o gerador produz “pseudo” números aleatórios. Apesar deste fato, os algoritmos modernos são capazes de produzir uma sequência de números que são, na prática, aleatórios, passando com sucesso por testes estatísticos que demonstram que eles são independentes e estão uniformemente distribuídos entre [0,1] como é o caso do SIMD-oriented Fast Mersenne Twister (SFMT), que é duas vezes mais rápido do que o Merssene Twister. Os GNAs mais populares e amplamente usados em linguagens de programação são,de alguma forma, casos especiais do método introduzido por Lehmer (1951), conhecido por Gerador Congruencial Linear (GCL).

3. Filas no processo de carga

No processo logístico que envolve o departamento de expedição, as filas surgem quando o número de veículos para transporte de cargas chega com um ritmo maior do que o de recursos disponíveis. Os intervalos entre as chegadas dos veículos e o tempo de processamento no recurso produtivo são variáveis aleatórias. Para que o processo entre em equilíbrio é necessário que as taxas médias de chegada e saída, sejam iguais durante o tempo da análise [6]. Um processo de filas em expedição de caminhões consiste em uma ordem de carga que chega aguarda para iniciar uma operação de carga, espera sua vez na fila, é processada e é despachada.

A ordem está sujeita à troca de prioridades e interrupções por manutenção ou falta de materiais Um sistema de fila pode ser representado pelas distribuições de probabilidade do tempo entre chegadas e do tempo de serviço, número de recursos, capacidade de executar um serviço e o número de clientes em potencial, representado com a notação A/B/m/K/M. No caso de uma capacidade infinita de serviço, número de clientes infinitos e disciplina FIFO (First-in First-out), a notação torna-se A/B/m. No caso da empresa deste artigo, o número de chegadas é por unidade de tempo seguindo a distribuição de Poisson (que tem como conseqüência, os intervalos de tempo entre as chegadas e seguem a distribuição exponencial negativa) e tempos de serviço que também seguirão a exponencial negativa, o sistema torna-se M/M/1. A letra M vem de processo Markoviano ou de Poisson. Os requisitos teóricos de tal processo são:

  1. O número de ocorrências em intervalos disjuntos é independente;
  2. O número de ocorrências em um intervalo de tempo dependente apenas do tamanho do intervalo;
  3. Em um intervalo de tempo suficientemente pequeno, a chance de duas ocorrências simultâneas é negligenciável [7][8].
Tabela 1: Variáveis referentes ao estudo das filas
VariaveisDescriçãoFormula
VARIAVEIS REFERENTES AO SISTEMA
TSTempo médio de permanência no sistema
NSNúmero médio de clientes no sistema

VariaveisDescriçãoFormula
VARIAVEIS REFERENTES AO PROCESSO DE CHEGADA
λRitmo médio de chegadaλ = 1IC
ICIntervalo médio entre chegadaIC = 1λ
VARIAVEIS REFERENTES A FILA
TFTempo médio de permanência na fila
NFNúmero médio de cliente na fila
VARIAVEIS REFERENTES AO PROCESSO DE ATENDIMENTO
TATempo médio de atendimento ou de serviçoTA = 1μ
MQuantidade de atendimento
NANúmero médio de clientes que estão sendo atendidos
μRitmo médio de atendimento de cada atendenteμ = 1TA

Foram utilizadas as observações de chegadas de veículos no pátio de carga e descarga de uma empresa de médio porte, além das anotações de inicio e fim de atendimento, gerando assim filas que foram estudadas neste artigo. Os dados se referem a três dias distintos. Tabela 2: Levantamento de dados 1º dia
19/04/2011
Hr. ChegadaHr. EntradaHr. Saida
8:008:0510:15
8:008:0510:30
8:018:0510:35
8:0210:2013:30
8:1110:3513:55
8:3610:4012:00
9:3810:3515:20

10:0013:0013:20
10:0013:2015:15
10:5014:0016:20
10:5115:2617:00
11:4715:1816:57
13:0416:2718:17
13:0917:0017:20
14:4917:0018:58
15:0217:2018:06
Total de Cargas/Descargas16 veiculos

Tabela 3: Levantamento de dados 2º dia
20/04/2011
Hr. ChegadaHr. EntradaHr. Saida
8:008:0510:15
8:008:0510:30
8:018:0510:35
8:0210:2212:00
8:0310:3213:51
8:1310:3813:36
8:1513:0015:32
8:3115:5416:10
8:4015:4016:00
10:0915:3516:00
11:1116:0417:10
11:3716:1516:40
13:1116:0318:00
13:4417:1418:23
13:0916:4318:00
Total de Cargas/Descargas15 veiculos

Tabela 4: Levantamento de dados 3º dia
21/04/2011
Hr. ChegadaHr. EntradaHr. Saida
8:008:0510:10
8:008:0510:20
8:018:0510:35
8:0310:1312:20
8:0310:2312:00
9:5610:4013:50
10:3813:0013:20
10:4113:0015:23

10:5013:5414:20
13:0113:2214:00
13:0214:0414:58
13:0314:2315:02
15:2215:2516:30
15:3215:3518:00
15:5516:3417:00
15:5817:1018:05
17:0017:0519:15
Total de Cargas/Descargas18 veiculos

Com posse das observações, foi possível calcular os intervalos de Interchegadas:
grafico
Figura 1: Relação entre chegadas e tempos de Interchegada
Tabela 5: Tempos de Interchegadas das observações dos três dias.
INTERCHEGADAS EM MINUTOS (IC)
05621139
1771620
192010
9408911323
257362423
62026362
221949
0133133
5011451
11001

Tabela 6: Tempos de espera e atendimento dos três dias.
ESPERAATENDIMENTO
19/420/421/419/420/421/4
0:050:050:052:102:102:05
0:050:050:052:252:252:15
0:040:040:042:302:302:30
2:182:202:103:101:382:07
2:242:292:203:203:191:37

COMTINUAÇÃO
19/420/4 21/419/420/421/4
2:042:250:441:202:583:10
3:574:452:221:452:320:20
3:005:232:190:202:162:23
3:207:003:041:550:200:26
3:105:260:212:200:250:38
4:354:531:021:341:060:54
3:314:381:201:390:250:39
3:232:520:031:451:571:05
3:513:300:080:201:061:35
3:110:340:031:581:172:25
2:180:390:460:26
1:120:55
0:052:10

4. Distribuição de frequência

Distribuição de frequência, segundo [13], é definida como uma apresentação tabular de dados para mostrar a frequência em que algo ocorre, dentro de um intervalo de classe. Costuma-se trabalhar com o centro de classe, onde os valores sucessivos destes são equidistantes, permitindo comparar o número de observações em diferentes classes. A precisão dos limites de classes dependerá da acuidade com que os dados foram coletados.[10], cita que o agrupamento dos dados em tabelas de frequências elimina muitos detalhes originais, porém, obtém-se a importante vantagem que é o aspecto global, o que possibilita maior clareza e evidenciam as relações essenciais. Segundo [11], o numero de observações contidas em uma classe característica é dita frequência absoluta. Esta pode ser expressa como porcentagem de frequência de uma população ou em valores relativos. O resultado da adição de frequências sucessivas é a frequência acumulada. 0 seu uso prático é mostrar diretamente a porcentagem de frequência que se situa abaixo e inclusive nesta classe, além do cálculo da mediana da distribuição.

A determinação de uma distribuição de frequência deve obedecer basicamente as seguintes regras gerais [12]:

  1. Determina-se a amplitude total dos dados;
  2. A fórmula de Sturges pode ser utilizada para obter o número aproximado de classes mesma finalidade (SILVA):

    k = 1 + 3,222 log n

    Onde:

    n - número de observações
    k - número de classes

  3. Divide-se a amplitude total em um número conveniente de intervalos de classe que tenham a mesma amplitude. Caso não seja possível, usam-se intervalos de classe de amplitudes diferentes ou abertos. Considera-se intervalo de classe aberto o intervalo que, teoricamente, não tem limite superior ou inferior;
  4. Faz-se a tabulação dos valores observados e obtém-se, assim, a distribuição de frequências.

    Calculando-se amplitude total (AT) em nosso estudo temos:

    Menor valor: 0 minutos

    Maior valor: 145 minutos

    Logo AT = 145

    Calculando-se o número de classes (k) em nosso estudo temos:

    k = 1 + 3,222 log 46

    k = 6

    Calculando-se a amplitude (h) de cada classes em nosso estudo temos:

    h = ATk

    h = 23

Tabela 7: Distribuição de frequência.

classesponto médiofifri
0|- 2311,0270,5870
23|- 4634,060,1304
46|- 6957,050,1087
69|- 9280,030,0652
92|- 115103,020,0435
115|- 138126,010,0217
138|- 161149,020,0435
TOTAL461

grafico
Figura 2: Gráfico do intervalo de chegada X frequência Relativa.

5. Distribuição Exponencial Negativa

A Distribuição Exponencial (também chamada como Distribuição Exponencial Negativa) é a correspondente da Distribuição de Poisson para intervalos entre chegadas, ou tempos de interchegada. Quando um fenômeno, portanto, segue Poisson em sua taxa de chegada, ele também comporta-se segundo a Distribuição Exponencial em termos de tempo entre chegadas. Seu processo de chegadas é baseado em Poisson, de modo que o número de chegadas em um intervalo de tempo t é uma variável aleatória discreta, e a média de chegadas no intervalo t é λ (chegadas/unidade de tempo). O tempo entre as ocorrências destas chegadas é definido segundo a Distribuição Exponencial.

A distribuição exponencial geralmente se ajusta bem a dados que apresentam forte assimetria, como histogramas em forma de “J” invertido [12]. Sua função densidade de probabilidade [f(x)] é expressa da seguinte forma:

f(x) = λe-λx

grafico
Figura 3: Gráfico da Função Densidade de Probabilidade

e sua função cumulativa de probabilidade [F(x)] é dada pela expressão:

F(x) = 1-e-λx
grafico
Figura 4: Gráfico da Função Cumulativa de Probabilidade
em que x é a variável aleatória, que, neste caso, foi o ponto médio do intervalo de Inter chegadas de cada classe, e o parâmetro λ é o ritmo médio de chegada. Em nosso estudo, segundo (Tabela 1), para se calcular o ritmo médio de chegada inicialmente é preciso calcular o IC médio somando-se os IC’s (Tabela 5) e decidindo pelo numero de Inter chegadas

e o ritmo médio de chegada é dado pela divisão de 1 pelo IC: IC médio = 31,5 minutos λ = 131,5 = 0,032 Tabela 8: Função Densidade de Probabilidade

Ponto MédioExponencial Neg
11,10,5816
34,00,2805
57,00,1353
80,00,0653
103,00,0315
126,00,0152
149,00,0073

grafico
Figura 5: Gráfico do intervalo de chegada X Função Densidade de Probabilidade.
grafico
Figura 6: Comparativo entre a frequência relativa e a função densidade de probabilidade.

Tabela 9: Função Cumulativa de Probabilidade

Ponto MédioFEQ.ACUM
11,00,2944
34,00,6597
57,00,8359
80,00,9208
103,00,9618
126,00,9816
149,00,9911

grafico
Figura 7: Gráfico do intervalo de chegada X Função Cumulativa de Probabilidade

6. Distribuição de Qui-Quadrado

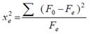
Esta distribuição proporciona, segundo [14], [15], um método para comparar os resultados esperados e observados e determinar se estes estão suficientemente próximos dos resultados esperados de forma a justificar a conclusão de que o dado é ou não "honesto". Sua fórmula é:

grafico
Onde:
k - número de classes
Fo = frequência observada
Fe - frequência esperada

As características desta distribuição, segundo [14], são:

  1. A variável X2 não pode ser negativa, porque é a soma de números positivos;
  2. A média cresce â medida que o número de graus de liberdade (g.l.) aumenta;
  3. A distribuição X2 é uma distribuição contínua, cuja forma e locação dependem do número de g.l;
  4. A conclusão sobre a diferença estatística significante entre duas distribuições é feita por comparação do X2 calculado com o X2 tabulado em um nível a de probabilidade e com V g.l. (onde V = k-1).
grafico
Figura 8: Valores tabelados X2 onde n é o numero de g.l. (Extraído de [7]
Atribuindo-se a frequência observada como frequência relativa e a frequência esperada como sendo a função densidade de probabilidade: Tabela 10: Distribuição de Qui-Quadrado
FoFeX2calc
0,58700,58160,00
0,13040,28050,08
,010870,13530,01
0,06520,06530,00
0,04350,03150,00

0,02170,01520,00
0,04350,00730,018
10,27
Observa-se que a distribuição é aceita, uma vez que o X2calc =0,27 é menor que o X20,005 = 0,676.
grafico
Figura 9: Comparativo entre a frequência relativa e a função densidade de probabilidade segundo distribuição de Erlang para tempo de espera
grafico
Figura 10: Comparativo entre a frequência relativa e a função densidade de probabilidade segundo distribuição de Erlang para tempo de atendimento

III. Resultados

Para a simulação a seguir, foi utilizado um gerador de números pseudoaleatório desenvolvido em Java. Gerou-se então 10000 valores de chegadas, espera e atendimento com seis casas decimais cada. Com os valores de atendimento, foi possível calcular os intervalos de chegada (IC) utilizando a função cumulativa de probabilidade.

Seguem os valores calculados para chegadas:

Calculando-se amplitude total (AT) simulada:

Menor valor: 0,001416 minutos
Maior valor: 460,127422 minutos
Logo AT = 460,126006
Calculando-se o número de classes (k) simulada:
k = 1 + 3,222 log 10000
k = 14
Calculando-se a amplitude (h) de cada classes:
h = ATk
h = 33,131193
Tabela 11: Distribuição de frequência simulada.
classesponto médiofifri
0|- 33,13119316,56559665920,06592
33,131193|- 66,26238649,69678922280,2228
66,262386|- 99,39357982,8279827860,0786
99,393579|- 132,524771115,9591752520,0252
132,524771|- 165,655964 149,090368860,0086
165,655964|- 198,787157182,221561330,0033
198,787157|- 231,918349215,352753110,0011
231,918349|- 265,049542248,48394660,0006
265,049542|- 298,180735 281,61513910,0001
298,180735|- 331,311928314,74633210,0001
331,311928|- 364,443121347,87752510,0001
364,443121|- 397,574314381,00871810,0001
397,574314|- 430,705506414,13991010,0001
430,705506|- 463,836699447,27110310,0001
100001

grafico
Figura 11: Gráfico do intervalo de chegada X frequência Relativa simulada

IC médio = 30,9 minutos
λ = 130,9 = 0,032


Tabela 12: Função Densidade de Probabilidade simulada
Ponto médioExponencial Neg.
16,5655960,49261128
49,6967890,16831338
82,8279820,05750861
115,9591750,01964930
149,0903680,00671369
182,2215610,00229391
215,3527530,00078377
248,4839460,00026780
281,6151390,00009150
314,7463320,00003126
347,8775250,00001068
381,0087180,00000365
414,1399100,00000125
447,2711030,00000043

grafico
Figura 12: Gráfico do intervalo de chegada X Função Densidade de Probabilidade simulada.
grafico
Figura 13: Comparativo entre a frequência relativa e a função densidade de probabilidade simulada.
Tabela 13: Função Cumulativa de Probabilidade simulada
Ponto médioFEQ.ACUM
16,5655960,4155
49,6967890,8003
82,8279820,9318
115,9591750,9767
149,0903680,9920
182,2215610,9973
215,3527530,9991
248,4839460,9997
281,6151390,9999
314,7463321,0000
347,8775251,0000
381,0087181,0000
414,1399101,0000
447,2711031,0000

grafico
Figura 14: Gráfico do intervalo de chegada X Função Cumulativa de Probabilidade simulada.
Tabela 14: Distribuição de Qui-Quadrado simulada
FoFec2calc
0,65920,492611280,06
0,22280,168313380,02
0,07860,057508610,01
0,02520,019649300,00
0,00860,006713690,00
0,00330,002293910,00
0,00110,000783770,00
0,00060,000267800,00
0,00010,000091500,00
0,00010,000031260,00
0,00010,000010680,00
0,00010,000003650,00
0,00010,000001250,01
0,00010,000000430,02
10,119322

Observa-se que a distribuição é aceita, uma vez que o X2calc = 0,119322 é menor que o X20,005 = 3,565. Utilizando-se as variáveis referentes ao estudo das filas: TA = 99,473333 minutos
TF = 186,31466 minutos
TS = TA + TF = 285,787994 minutos

Ritmo médio de chegada
λ = 0,032 veiculos por minuto

Intervalo entre chegadas
IC= 1λ → IC = 30,9 minutos

Ritmo médio de atendimento
μ = 1TA → m = 0,010053

Intensidade de tráfego
i = | λμ | = | TAIC | = | 3,18 | = 4 erlangs

Taxa de utilização dos atendentes (três atendentes)
ρ = λμ ρ = 1,06105 = 106,1%
Para (quatro atendentes) ρ = 0,79579 = 79,58%


IV. Conclusão

Com os resultados obtidos, após a aplicação da Teoria das Filas, pôde-se observar que existe um desequilíbrio no sistema, pois o ritmo de chegada é maior que o ritmo de atendimento. A empresa deve contratar mais funcionários, pois a taxa de utilização supera 100% para três servidores. Logo trabalhando com quatro servidores irá atingir uma taxa de utilização de 79,58%. Atualmente a empresa que trabalha com 12 atendentes (três servidores) deve trabalhar com 16 atendentes. Para continuidade do estudo de simulação, sugerimos que seja utilizado SIMD-oriented Fast Mersenne Twister (SFMT) para gerar números aleatórios mais consistentes, assim como obter um maior número de observações de chegada.

V. Agradecimentos

Leandro Pimenta Parente e Marcus Vinicius Pereira Cavalli agradecem ao Professor Dr. Jorge de Oliveira Echeimberg pelo apoio e suporte na orientação do Trabalho de Conclusão de curso. Agradecem também a todo corpo docente da Universidade Nove de Julho, que proporcionaram uma aprendizagem significativa, e contribuíram com o conhecimento necessário para a formação de novos cientistas da computação.

VI. Referências

[1] AZEVEDO JUNIOR, Delmir Peixoto de and CAMPOS, Renato de. Definição de requisitos de software baseada numa arquitetura de modelagem de negócios. Prod. [online]. 2008, vol.18, n.1, pp. 26-46. ISSN 0103-6513. doi: 10.1590/S0103-65132008000100003. TORRES, Norberto A. Competitividade empresarial com a tecnologia de informação. São Paulo, Makron Books, 1995.
[2] GONÇALVES, J.E.L. As Empresas são grandes coleções de processos. São Paulo: RAE, 2000, vol.40, n.1, pp.6-19, http://www16.fgv.br/rae/redirect.cfm?ID=356.
[3] DREYFUSS, Cassio. As redes e a gestão das organizações. Rio de Janeiro: Guide, 1996.
[4] WIENDAHL, H.-P.: Load-oriented manufacturing control. Berlin: Springer-Verlag, 1995.
[5] PAPADOPOULOS, H.; HEAVEY, C.; BROWNE, J. Queuing theory in manufacturing systems analysis and design. London: Chapman & Hall, 1993.
[6] PIDD, M.: Computer simulation in management science. Chichester: John Wiley & Sons, 1998.
[7] HILLIER, F.; LIEBERMAN, G. Introduction to operations research. Singapore: McGraw-Hill, 1995.
[8] KLEINROCK, L. Queueing Systems, Volume I. N. York: John Wiley & Sons, 1975.
[9] SPIEGEL, M.R. Estatística. Sao Paulo, Mc Graw-Hill do Brasil, 1975. 580 p.
[10] PRODAN, M. Forest biometrics. Oxford, Pergamon Press, 1968. 447 p.
[11] SILVA, J.A. Biometria, e estatística florestal. Santa Maria, UFSM~^ Centro de Ciências Rurais, Departamento de Engenharia Agrícola e Florestal, 1977. 235 p.
[12] BRUCE, D. & SCHUMACHER, F.X. Forest mensuration. New York, Mc Graw-Hill, 1950. 483 p.
[13] MERRIL, W.C. & FOX, K.A. Estatística Econômica. São Paulo, Atlas, 1977. 738 p.
[14] AMANE, T.. Estatística. Mexico, Haría S.A., 3? ed., 1974. 573 p.